Muy buenas, os pongo el problema de esta semana, y ya que estamos, aprovecho para felicitaros a todos la Navidad, sobretodo, porque es posible que tenga esto unos días sin actualizar. El problema de esta semana es el siguiente:
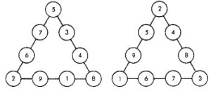
Poner en cada bola los números del 1 al 9 de manera que los tres lados sumen lo mismo, y además, que si en vez de poner los números ponemos los cuadrados, los tres lados también sumen lo mismo. Os animo a participar, si queréis responder, como siempre, poned un comentario, y me decís los números, siguiendo las agujas del reloj, empezando por la bola roja de arriba.
Esta entrada participa en la edición 3.141592653… del Carnaval de las Matemáticas, cuyo blog anfitrión es, en esta ocasión, Que no te aburran las m@tes
¡Felices fiestas!


